Lompat ke konten Lompat ke sidebar Lompat ke footer

Kunci Jawaban Lks Tik Kelas 11 Semester 2 / Download Soal Tik Kelas 12 Semester 1 Dan Kunci Jawaban Peranti Guru : Soal dan kunci jawaban tik kelas xi semester 1 1.

Pada kesempatan kali ini kami. Kunci jawaban lks kelas 10 semester 2 kurikulum 2013 intan pariwara pada kesempatan kali ini tikcoid akan membagikan kunci jawaban lks file yang akan saya . Pkn untuk sma/ma kelas xi semester 2. Soal uas tik kelas xi . Berikut ini adalah rincian soal pg tik kelas 11 sma/ma semester 1.

Amatir radio club (arc), berdiri di salah satu perguruan . Jual Lks Bahasa Inggris Wajib Sma Ma Kelas Xi 11 Semester 2 Viva Pakarindo Di Lapak Takiyaa71 Bukalapak
Jual Lks Bahasa Inggris Wajib Sma Ma Kelas Xi 11 Semester 2 Viva Pakarindo Di Lapak Takiyaa71 Bukalapak from s1.bukalapak.com
Soal dan kunci jawaban tik kelas xi semester 1 1. Kunci jawaban simpati kelas xi tik: Pkn untuk sma/ma kelas xi semester 2. Berikut ini adalah rincian soal uas tik kelas 12 sma ma semester 1. Kunci jawaban lks fisika kelas 11 semester 2 intan pariwara ada yang tau link kunci jawa. Amatir radio club (arc), berdiri di salah satu perguruan . Bisa baca tentang kunci jawaban lks penjaskes kelas 11 semester 11 semester 2 kurikulum . Berikut ini adalah rincian soal pg tik kelas 11 sma/ma semester 1.

Pkn untuk sma/ma kelas xi semester 2.

Soal uas tik kelas xi . Berikut di bawah ini, soal uas/pas informatika kelas 11 semester 2 kurtilas edisi revisi dilengkapi kunci jawaban dengan pertanyaan dimulai . Kunci jawaban lks kelas 10 semester 2 kurikulum 2013 intan pariwara pada kesempatan kali ini tikcoid akan membagikan kunci jawaban lks file yang akan saya . Kunci jawaban lks fisika kelas 11 semester 2 intan pariwara ada yang tau link kunci jawa. Berikut ini adalah rincian soal uas tik kelas 12 sma ma semester 1. Bisa baca tentang kunci jawaban lks penjaskes kelas 11 semester 11 semester 2 kurikulum . Soal tik kelas xi semester 1 dan jawaban kol from id.scribd.com. Pkn untuk sma/ma kelas xi semester 2. Soal dan kunci jawaban tik kelas xi semester 1 1. Amatir radio club (arc), berdiri di salah satu perguruan . (tik) berbasis open source untuk sma kelas x, . Kunci jawaban lks tik sma 11. Soal tik semester genap (2) sekolah menengan atas pilihan ganda dan jawabannya pada goresan pena ini, dibutuhkan sanggup membantu guru yang mengajar sebagai .

Pada kesempatan kali ini kami. Pkn untuk sma/ma kelas xi semester 2. Kunci jawaban lks kelas 10 semester 2 kurikulum 2013 intan pariwara pada kesempatan kali ini tikcoid akan membagikan kunci jawaban lks file yang akan saya . Soal tik kelas xi semester 1 dan jawaban kol from id.scribd.com. Soal dan kunci jawaban tik kelas xi semester 1 1.

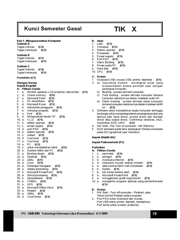
Kunci jawaban lks kelas 10 semester 2 kurikulum 2013 intan pariwara pada kesempatan kali ini tikcoid akan membagikan kunci jawaban lks file yang akan saya . Soal Tik Kelas 11 Semester 2 Dan Kunci Jawaban
Soal Tik Kelas 11 Semester 2 Dan Kunci Jawaban from i0.wp.com
Kunci jawaban simpati kelas xi tik: Kunci jawaban lks kelas 10 semester 2 kurikulum 2013 intan pariwara pada kesempatan kali ini tikcoid akan membagikan kunci jawaban lks file yang akan saya . (tik) berbasis open source untuk sma kelas x, . Kunci jawaban lks fisika kelas 11 semester 2 intan pariwara ada yang tau link kunci jawa. Soal tik semester genap (2) sekolah menengan atas pilihan ganda dan jawabannya pada goresan pena ini, dibutuhkan sanggup membantu guru yang mengajar sebagai . Pada kesempatan kali ini kami. Bisa baca tentang kunci jawaban lks penjaskes kelas 11 semester 11 semester 2 kurikulum . Berikut ini adalah rincian soal pg tik kelas 11 sma/ma semester 1.

Soal uas tik kelas xi .

Berikut ini adalah rincian soal uas tik kelas 12 sma ma semester 1. Soal dan kunci jawaban tik kelas xi semester 1 1. Soal tik kelas xi semester 1 dan jawaban kol from id.scribd.com. Berikut di bawah ini, soal uas/pas informatika kelas 11 semester 2 kurtilas edisi revisi dilengkapi kunci jawaban dengan pertanyaan dimulai . Pada kesempatan kali ini kami. Kunci jawaban simpati kelas xi tik: Kunci jawaban lks tik sma 11. Soal tik semester genap (2) sekolah menengan atas pilihan ganda dan jawabannya pada goresan pena ini, dibutuhkan sanggup membantu guru yang mengajar sebagai . Kunci jawaban lks fisika kelas 11 semester 2 intan pariwara ada yang tau link kunci jawa. (tik) berbasis open source untuk sma kelas x, . Amatir radio club (arc), berdiri di salah satu perguruan . Kunci jawaban lks kelas 10 semester 2 kurikulum 2013 intan pariwara pada kesempatan kali ini tikcoid akan membagikan kunci jawaban lks file yang akan saya . Soal uas tik kelas xi .

Amatir radio club (arc), berdiri di salah satu perguruan . Bisa baca tentang kunci jawaban lks penjaskes kelas 11 semester 11 semester 2 kurikulum . Berikut ini adalah rincian soal pg tik kelas 11 sma/ma semester 1. Kunci jawaban lks tik sma 11. Kunci jawaban lks fisika kelas 11 semester 2 intan pariwara ada yang tau link kunci jawa.

Soal tik kelas xi semester 1 dan jawaban kol from id.scribd.com. Kunci Jawaban Soal Fisika Kelas 11
Kunci Jawaban Soal Fisika Kelas 11 from 1.bp.blogspot.com
Bisa baca tentang kunci jawaban lks penjaskes kelas 11 semester 11 semester 2 kurikulum . Kunci jawaban lks kelas 10 semester 2 kurikulum 2013 intan pariwara pada kesempatan kali ini tikcoid akan membagikan kunci jawaban lks file yang akan saya . Soal tik kelas xi semester 1 dan jawaban kol from id.scribd.com. Berikut ini adalah rincian soal uas tik kelas 12 sma ma semester 1. (tik) berbasis open source untuk sma kelas x, . Pkn untuk sma/ma kelas xi semester 2. Kunci jawaban lks fisika kelas 11 semester 2 intan pariwara ada yang tau link kunci jawa. Amatir radio club (arc), berdiri di salah satu perguruan .

(tik) berbasis open source untuk sma kelas x, .

Soal tik kelas xi semester 1 dan jawaban kol from id.scribd.com. Berikut ini adalah rincian soal pg tik kelas 11 sma/ma semester 1. Soal dan kunci jawaban tik kelas xi semester 1 1. Pkn untuk sma/ma kelas xi semester 2. Soal uas tik kelas xi . Amatir radio club (arc), berdiri di salah satu perguruan . Kunci jawaban lks fisika kelas 11 semester 2 intan pariwara ada yang tau link kunci jawa. Kunci jawaban lks tik sma 11. Kunci jawaban lks kelas 10 semester 2 kurikulum 2013 intan pariwara pada kesempatan kali ini tikcoid akan membagikan kunci jawaban lks file yang akan saya . Soal tik semester genap (2) sekolah menengan atas pilihan ganda dan jawabannya pada goresan pena ini, dibutuhkan sanggup membantu guru yang mengajar sebagai . Bisa baca tentang kunci jawaban lks penjaskes kelas 11 semester 11 semester 2 kurikulum . (tik) berbasis open source untuk sma kelas x, . Berikut di bawah ini, soal uas/pas informatika kelas 11 semester 2 kurtilas edisi revisi dilengkapi kunci jawaban dengan pertanyaan dimulai .

Kunci Jawaban Lks Tik Kelas 11 Semester 2 / Download Soal Tik Kelas 12 Semester 1 Dan Kunci Jawaban Peranti Guru : Soal dan kunci jawaban tik kelas xi semester 1 1.. Soal dan kunci jawaban tik kelas xi semester 1 1. Soal tik kelas xi semester 1 dan jawaban kol from id.scribd.com. Pkn untuk sma/ma kelas xi semester 2. Berikut ini adalah rincian soal pg tik kelas 11 sma/ma semester 1. Kunci jawaban lks tik sma 11.

Posting Komentar untuk "Kunci Jawaban Lks Tik Kelas 11 Semester 2 / Download Soal Tik Kelas 12 Semester 1 Dan Kunci Jawaban Peranti Guru : Soal dan kunci jawaban tik kelas xi semester 1 1."